Publicaciones

Esta sección incluye una lista de los últimos artículos científicos del IPNA publicados en revistas incluidas en el Science Citation Index (SCI).

En DIGITAL.CSIC, repositorio institucional del CSIC, pueden encontrar el listado completo de artículos científicos desde 1962, así como otras colecciones de interés como congresos, tesis, libros, material divulgativo, etc. del centro. El objetivo de DIGITAL.CSIC es organizar, preservar y difundir en acceso abierto los resultados de nuestra investigación.

En el repositorio institucional del CSIC, pueden encontrar el listado completo de artículos científicos, así como otras colecciones de interés como congresos, tesis, libros, material divulgativo, etc.

Ir a Digital - CSIC

 

Análisis de la Producción Científica del IPNA 2014-2019: análisis bibliométrico realizado a partir de datos recogidos en Scopus y Web of Science.

Image
Digital CSIC

Chemical Insights into Oxidative and Nitrative Modifications of DNA

This review focuses on DNA damage caused by a variety of oxidizing, alkylating, and nitrating species, and it may play an important role in the pathophysiology of inflammation, cancer, and degenerative diseases. Infection and chronic inflammation have been recognized as important factors in carcinogenesis. Under inflammatory conditions, reactive oxygen species (ROS) and reactive nitrogen species (RNS) are generated from inflammatory and epithelial cells, and result in the formation of oxidative and nitrative DNA lesions, such as 8-oxo-7,8-dihydro-2′-deoxyguanosine (8-oxodG) and 8-nitroguanine. Cellular DNA is continuously exposed to a very high level of genotoxic stress caused by physical, chemical, and biological agents, with an estimated 10,000 modifications occurring every hour in the genetic material of each of our cells. This review highlights recent developments in the chemical biology and toxicology of 2′-deoxyribose oxidation products in DNA.

Curieses Andrés, Celia María; Lastra, José M. P. de la; Juan, Celia Andrés; Plou Gasca, Francisco José; Pérez-Lebeña, Eduardo.

International Journal of Molecular Sciences 24(20), 15240: 1-43 (2023)
DOIDigital.CSIC

Illuminating a Solvent-Dependent Hierarchy for Aromatic CH/π Complexes with Dynamic Covalent Glyco-Balances

CH/π interactions are prevalent among aromatic complexes and represent invaluable tools for stabilizing well-defined molecular architectures. Their energy contributions are exceptionally sensitive to various structural and environmental factors, resulting in a context-dependent nature that has led to conflicting findings in the scientific literature. Consequently, a universally accepted hierarchy for aromatic CH/π interactions has remained elusive. Herein, we present a comprehensive experimental investigation of aromatic CH/π complexes, employing a novel approach that involves isotopically labeled glyco-balances generated in situ. This innovative strategy not only allows us to uncover thermodynamic insights but also delves into the often less-accessible domain of kinetic information. Our analyses have yielded more than 180 new free energy values while considering key factors such as solvent properties, the interaction geometry, and the presence and nature of accompanying counterions. Remarkably, the obtained results challenge conventional wisdom regarding the stability order of common aromatic complexes. While it was believed that cationic CH/π interactions held the highest strength, followed by polarized CH/π, nonpolarized CH/π, and finally anionic CH/π interactions, our study reveals that this hierarchy can be subverted depending on the environment. Indeed, the performance of polarized CH/π interactions can match or even outcompete that of cationic CH/π interactions making them a more reliable stabilization strategy across the entire spectrum of solvent polarity. Overall, our results provide valuable guidelines for the selection of optimal interacting partners in every chemical environment, allowing the design of tailored aromatic complexes with applications in supramolecular chemistry, organocatalysis, and/or material sciences.

Díaz-Casado, Laura; Villacampa, Alejandro; Corzana, Francisco; Jiménez-Barbero, Jesús; Gómez, Ana M.; Santana, Andrés G.; Asensio, Juan Luis.

JACS: 1-15 (2024)
DOIDigital.CSIC

Bird-flower colour on islands supports the bee-avoidance hypothesis

Many insular plant species inhabiting different archipelagos worldwide present typical ornithophilous floral traits (e.g. copious nectar, red-orange colours), but most of them are visited by insectivorous/granivorous birds and lizards, which act as generalist pollinators. Oceanic islands promote these ecological interactions mainly due to the scarcity of arthropods. Our goal is to understand how these generalist interactions contribute to the shift of floral traits from entomophily (mainland) to ornithophily or saurophily (island), where specialist nectar-feeding birds have not inhabited. We used the well-known pollination interactions occurring in the Canary Islands to evaluate two proposed ecological hypotheses, bee-avoidance or bird-attraction, explaining evolutionary transitions of floral traits. Specifically, we studied the flower colour conspicuousness of bird-pollinated Canarian species visited by birds and lizards with their closest relatives from the mainland mainly visited by bees. We analysed the chromatic contrast of flower colours using visual models of bees, birds and lizards and the achromatic contrast in visual models of bees. We also compared reflectance spectra marker points of flowers with available spectral discrimination sensitivities of bees and birds. Using a phylogenetically corrected framework of independent plant lineages, our results revealed that bird-pollinated Canarian species showed lower chromatic contrast according to bees and lizard visual models than their mainland relatives, but similar chromatic contrast for bird vision. In addition, reflectance spectra marker points of the Canarian species were displaced to the longest wavelengths, far from the wavelengths of maximum discrimination of bees, but close to birds. We conclude that the avoidance of bees would be a primary ecological strategy explaining the evolutionary transitions of flower colours from melittophily to ornithophily. The lower conspicuousness of bird-pollinated Canarian flowers in lizards is perhaps a side effect of the bee-avoidance strategy rather than an independent evolutionary strategy. Together, these findings provide insights into how vertebrate generalist pollinators can also lead to divergence of floral traits in insular habitats, but also in other arthropod-poor habitats.

Rodríguez-Sambruno, Cristina; Narbona, Eduardo; del Valle, José Carlos; Valido, Alfredo.

Functional Ecology: 1-12 (2023)
DOIDigital.CSIC

Impact of desert dust on new particle formation events and the cloud condensation nuclei budget in dust-influenced areas

Detailed knowledge on the formation of new aerosol particles in the atmosphere from precursor gases, and their subsequent growth, commonly known as new particle formation (NPF) events, is one of the largest challenges in atmospheric aerosol science. High pre-existing particle loadings are expected to suppress the formation of new atmospheric aerosol particles due to high coagulation and condensation (CS) sinks. However, NPF events are regularly observed in conditions with high concentrations of pre-existing particles and even during intense desert dust intrusions that imply discrepancies between the observations and theory. In this study, we present a multi-site analysis of the occurrence of NPF events under the presence of desert dust particles in dust-influenced areas. Characterization of NPF events at five different locations highly influenced by desert dust outbreaks was done under dusty and non-dusty conditions using continuous measurements of aerosol size distribution in both fine and coarse size fractions. Contrary to common thought, our results show that the occurrence of NPF events is highly frequent during desert dust outbreaks, showing that NPF event frequencies during dusty conditions are similar to those observed during non-dusty conditions. Furthermore, our results show that NPF events also occur during intense desert dust outbreaks at all the studied sites, even at remote sites where the amounts of precursor vapours are expected to be low. Our results show that the condensation sink associated with coarse particles (CSC) represents up to the 60 % of the total CS during dusty conditions, which highlights the importance of considering coarse-fraction particles for NPF studies in desert-dust-influenced areas. However, we did not find a clear pattern of the effect of desert dust outbreaks on the strength of NPF events, with differences from site to site. The particle growth rate (GR) did not present a clear dependence on the CS during dusty and non-dusty conditions. This result, together with the fact that desert dust has different effects on the growth and formation rates at each site, suggests different formation and growth mechanisms at each site between dusty and non-dusty conditions, probably due to differences in precursor vapours' origins and concentrations as well as changes in the oxidative capacity of pre-existing particles and their effectiveness acting as CS. Further investigation based on multiplatform measurement campaigns and chamber experiments with state-of-the-art gaseous and particulate physical and chemical properties measurements is needed to better understand the role of catalyst components present in desert dust particles in NPF. Finally, our results reveal a significant impact of NPF events on the cloud condensation nuclei (CCN) budget during desert dust outbreaks at the studied sites. Therefore, since desert dust contributes to a major fraction of the global aerosol mass load, and since there is a foreseeable increase in the frequency, duration and intensity of desert dust episodes due to climate change, it is imperative to improve our understanding of the effect of desert dust outbreaks on NPF and the CCN budget for better climate change prediction.

Casquero-Vera, Juan Andrés; Pérez-Ramírez, Daniel; Lyamani, Hassan; Rejano, Fernando; Casans, Andrea; Titos, Gloria; Olmo, Francisco José; Dada, Lubna; Hakala, Simo; Hussein, Tareq; Lehtipalo, Katrianne; Paasonen, Pauli; Hyvärinen, Antti; Pérez, Noemí; Querol, Xavier; Rodríguez, Sergio; Kalivitis, Nikos; González, Yenny; Alghamdi, Mansour A.; Kerminen, Veli-Matti; Alastuey, Andrés; Petäjä, Tuukka; Alados-Arboledas, Lucas.

Atmospheric Chemistry and Physics, 23(24): 15795–15814 (2023)
DOIDigital.CSIC

Rediscovery of the Canary Islands endemic Aphaenogaster hesperia Santschi, 1911 (Hymenoptera, Formicidae, Myrmicinae)

The Canary Islands endemic species Aphaenogaster hesperia Santschi, 1911 was described based solely on two workers captured in a north-western coastal area of Tenerife (Canary Islands) in 1902 and 1903. The species has not been recorded in the last 100 years and only information on its type locality is known. This species, belonging to the crocea group, has been recently rediscovered in a new site within a pine forest at 950 m a.s.l. The new area is a very different habitat, revealing a lack of ecological knowledge of the species, which may have caused the species to have remained unnoticed for more than 100 years. Novel distributional and morphological data are provided.

Pérez-Delgado, Antonio J.; Lugo, David; Santos-Perdomo, Irene; Jiménez-García, Eduardo; Suárez, Daniel.

Zootaxa, 5383(1): 067-074 (2023)
DOIDigital.CSIC

ONTbarcoder 2.0: rapid species discovery and identification with real-time barcoding facilitated by Oxford Nanopore R10.4

Most arthropod species are undescribed and hidden in specimen-rich samples that are difficult to sort to species using morphological characters. For such samples, sorting to putative species with DNA barcodes is an attractive alternative, but needs cost-effective techniques that are suitable for use in many laboratories around the world. Barcoding using the portable and inexpensive MinION sequencer produced by Oxford Nanopore Technologies (ONT) could be useful for presorting specimen-rich samples with DNA barcodes because it requires little space and is inexpensive. However, similarly important is user-friendly and reliable software for analysis of the ONT data. It is here provided in the form of ONTbarcoder 2.0 that is suitable for all commonly used operating systems and includes a Graphical User Interface (GUI). Compared with an earlier version, ONTbarcoder 2.0 has three key improvements related to the higher read quality obtained with ONT's latest flow cells (R10.4), chemistry (V14 kits) and basecalling model (super-accuracy model). First, the improved read quality of ONT's latest flow cells (R10.4) allows for the use of primers with shorter indices than those previously needed (9 bp vs. 12–13 bp). This decreases the primer cost and can potentially improve PCR success rates. Second, ONTbarcoder now delivers real-time barcoding to complement ONT's real-time sequencing. This means that the first barcodes are obtained within minutes of starting a sequencing run; i.e. flow cell use can be optimized by terminating sequencing runs when most barcodes have already been obtained. The only input needed by ONTbarcoder 2.0 is a demultiplexing sheet and sequencing data (raw or basecalled) generated by either a Mk1B or a Mk1C. Thirdly, we demonstrate that the availability of R10.4 chemistry for the low-cost Flongle flow cell is an attractive option for users who require only 200–250 barcodes at a time.

Srivathsan, Amrita; Feng, Vivian; Suárez, Daniel; Emerson, Brent C.; Meier, Rudolf.

Cladistics: 1-12 (2023)
DOIDigital.CSIC

El destino de la biodiversidad durante la reciente erupción volcánica de Tajogaite, La Palma: investigando un evento natural catastrófico

El 19 de septiembre de 2021 tuvo lugar el inicio de la erupción del volcán de Tajogaite en la vertiente oeste de la dorsal de Cumbre Vieja en la isla de La Palma. Después de 85 días de actividad, ésta ha sido la erupción histórica más larga en la isla y la octava que ha tenido lugar en periodo histórico, después de los volcanes de Tacande (1480), Jedey (1585), Martín y El Búcaro (1646), Fuencaliente (1677), El Charco (1712), San Juan, Hoyo Negro y Duraznero (1949) y Teneguía (1971). Ha sido uno de los volcanes mejor monitorizados desde el punto de vista geológico, pero los efectos de una erupción volcánica sobre la biodiversidad nunca habían sido estudiados simultáneamente al evento eruptivo. La mayoría de los trabajos científicos en esta materia se han dirigido a conocer cuáles son los procesos de regeneración de la vegetación y de la sucesión ecológica una vez finalizadas las erupciones volcánicas. Por ello, el objetivo de este estudio es detallar cómo se plantearon los métodos de seguimiento de la biodiversidad en unas condiciones ambientales adversas como las producidas por la erupción de un volcán. Asimismo, se trató de responder algunas cuestiones relativas a sus efectos sobre las especies de la flora y fauna insular: ¿Están las especies insulares «adaptadas» a los factores de estrés provocados por el volcanismo? ¿Hay algunos tipos funcionales de plantas vinculados a ellos? El estudio de las escalas temporales y espaciales de esos patrones ayudará a conocer en qué medida estos eventos naturales catastróficos constituyen ventanas de oportunidad para que se produzcan o aceleren los procesos evolutivos que tienen lugar en la biota de islas oceánicas.

Manuel Medina, Félix; Guerrero-Campo, María; Quirós Priego, Joaquín J.; García Becerra, Rafael; Fajardo, Silvia; Marrero, Patricia; Nogales, Manuel.

Actas de la XVIII Semana Científica Telesforo Bravo (3): 117-151 (2023)
Digital.CSIC

Chemistry of Hydrogen Sulfide—Pathological and Physiological Functions in Mammalian Cells

Hydrogen sulfide (H2S) was recognized as a gaseous signaling molecule, similar to nitric oxide (-NO) and carbon monoxide (CO). The aim of this review is to provide an overview of the formation of hydrogen sulfide (H2S) in the human body. H2S is synthesized by enzymatic processes involving cysteine and several enzymes, including cystathionine-β-synthase (CBS), cystathionine-γ-lyase (CSE), cysteine aminotransferase (CAT), 3-mercaptopyruvate sulfurtransferase (3MST) and D-amino acid oxidase (DAO). The physiological and pathological effects of hydrogen sulfide (H2S) on various systems in the human body have led to extensive research efforts to develop appropriate methods to deliver H2S under conditions that mimic physiological settings and respond to various stimuli. These functions span a wide spectrum, ranging from effects on the endocrine system and cellular lifespan to protection of liver and kidney function. The exact physiological and hazardous thresholds of hydrogen sulfide (H2S) in the human body are currently not well understood and need to be researched in depth. This article provides an overview of the physiological significance of H2S in the human body. It highlights the various sources of H2S production in different situations and examines existing techniques for detecting this gas.

Curieses Andrés, Celia María; Pérez de Lastra, José Manuel; Andrés Juan, Celia; Plou Gasca, Francisco José; Pérez-Lebeña, Eduardo.

Cells, 12(23), 2684: 1-45 (2023)
DOIDigital.CSIC

Oceanic Island Bats as Flower visitors and pollinators

Oceanic islands are relatively poor in insects compared to mainland areas. Therefore, insect-eating island birds and lizards may include other food sources into their diet, e.g. nectar and pollen. Here, we explore if insect-eating island bats face a similar problem and accordingly join the birds and lizards and incorporate plant resources into their diet. Thus, a priory, we assume flower visitation by bats to be more common on oceanic islands than elsewhere. To test this, we reviewed the literature to obtain information on the geographic distribution and diet of all 1,399 species of bats in the world and found that 49%, 21%, and 31% of species have a mainland, mixed mainland-island, and island distribution, respectively. Diets are known for only 65% (905 species) of the bats in the world, and 70%, 22%, and 8% of these, respectively, rely on insects, fruit, and floral resources as their major diet component. Twenty-seven species are even obligate flower visitors. This study confirms that flower-visiting bats, especially Pteropodidae, are significantly more frequent on oceanic islands, while insect eaters are more frequent on mainland and continental islands. Consequently, we argue that flower visitation and pollination by insect-eating island bats require more attention in future island ecology studies. For a start, we list known examples in the literature and report a case study from the Canary Islands. In the latter, we examined the foreheads of 34 museum specimens of the seven Canarian bat species. Half of them carried pollen from ≥ 9 taxa, but only three bat species had larger amounts. Pollen was not identified, but many Canarian and exotic plant species are candidates. Thus, flower visitation by bats may be an oceanic island phenomenon, but requires more focused research, especially night-time flower observations and examination of bats for pollen.

Valido, Alfredo; Olesen, Jens M.

Journal of Pollination Ecology, 35(14): 239-251 (2023)
DOIDigital.CSIC

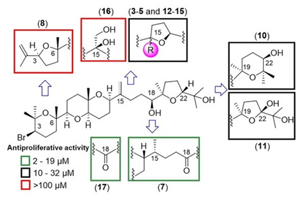
Antiproliferative effect of natural and semisynthetic polyethers from Laurencia viridis

Squalene-derived polyethers are a unique class of compounds that display a great diversity of structures and a broad array of bioactivities, among which its notable antiproliferative activity stands out against various types of cancer cell lines. In this study, eighteen triterpene squalene-derived polyethers, including twelve natural products and six synthetic derivatives, obtained from the red alga Laurencia viridis Gil-Rodríguez & Haroun were screened for their antiproliferative activity against six cancer cell lines: A549, HBL-100, HeLa, SW1573, T-47D, and WiDr; and a structure-activity relationship (SAR) study was established.

Santiago-Beníteza, Adrián J.; Puerta, Adrián; Padrón, José M.; Norte, Manuel; Fernández, José J.; Hernández Daranas, Antonio; Cen-Pacheco, Francisco.

Natural Product Research: 1-8 (2023)
DOIDigital.CSIC