Metal- and Oxidant-Free Photoinduced Aromatic Trifluoromethylation Performed in Aerated Gel Media: Determining the Effects on Yield and Selectivity

In this work we have investigated the potential benefits of using supramolecular gel networks as reaction media to carry out air-sensitive metal-free light-induced trifluoromethylation of six-membered (hetero)arenes under aerobic conditions. This reaction was performed at room temperature (RT) using sodium triflinate (CF₃SO₂Na, Langlois' reagent) as a source of radicals and diacetyl as electron donor. The effects of confinement in gel media, concentration of reactants, and type of light source on yield and product distribution were evaluated and compared to the results obtained in homogeneous solution. Four different low molecular weight (LMW) gelators were employed in this study. The results confirmed the blocking effect of the gel medium against reaction quenching by external oxygen, as well as a certain control on the kinetics and selectivity.

Abramov, Alex; Vernickel, Hendrick; Saldías, César; Díaz Díaz, David

Molecules 24: 29 (2019)
DOIDigital.CSIC

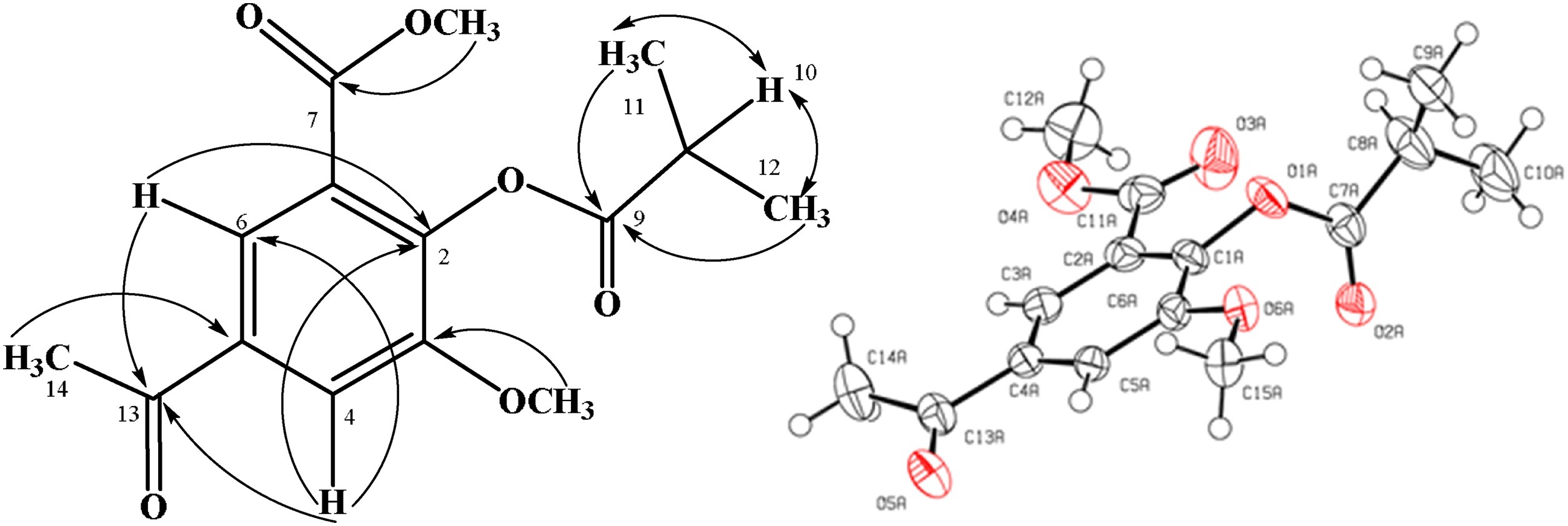
Benzofurans, benzoic acid derivatives, diterpenes and pyrrolizidine alkaloids from Peruvian Senecio

Sixteen compounds incluiding four benzofurans (1–4), three benzoic acid derivatives (6–8), one eremophilane (9), four diterpenes (10–13) and four pyrrolizidine alkaloids (14–17) were isolated from Senecio subcandidus, S. klugii and S. ayapatensis from Perú. Compounds 1–4 and 6–9 have not been previously reported as natural products. Their molecular structures were determined by NMR spectroscopic analysis, comparison with published NMR data and chemical transformations. The X-ray analysis of acetylated derivative 5 and compound 7 were also performed. Their insecticidal and antifungal activities were tested.

Ruiz-Vasquez, Liliana; Ruiz-Mesía, Lastenia; Renia, Matías; López-Rodríguez, Matías; González-Platas, Javier; Giménez, Cristina; Cabrera, Raimundo; González-Coloma, Azucena

Phytochemistry Letters 28: 47-54 (2018)
DOIDigital.CSIC

"The Camino is Alive": Minor Logics and Commodification in the Camino de Santiago

The Camino de Santiago is a UNESCO World Heritage Trail which has become a symbol of the shared history and culture of European nations. In recent years, Spanish institutions and economic actors have perceived the Camino as an opportunity to promote tourism and to reverse the de-population of rural areas of northern Spain. Consequently, the Camino has undergone a process of tourism promotion and commodification that has transformed it in various ways. Drawing on a long-term ethnographic engagement, this article explores the ongoing transformations of the Camino in the region of Maragatería (Spain), showing that commodification processes tend to bind the Camino to a physical structure, disregarding its intangible aspects. As institutional and market logics have been imposed on the Camino, the alternative logics of other social actors have been delegitimized and gradually expelled from the Camino. The alternative forms of reasoning of these actors facing commodification are analyzed through the concept of "minor logics." The suppression of minor logics is interpreted as a self-destroying process that ultimately erodes the social creativity on which the Camino's aura of authenticity as a tourism product depends.

Alonso-González, Pablo.

Anthropological Quarterly, 91(3), 308: 969-999 (2018)
DOIDigital.CSIC

Synthesis and Utility of 2,2-Dimethyl-2 H-pyrans: Dienes for Sequential Diels-Alder/Retro-Diels-Alder Reactions

The practical use of 2,2-dimethyl-2H-pyrans as electron-rich dienes in sequential Diels−Alder/retro-Diels−Alder (DA/rDA) domino processes to generate aromatic platforms has been demonstrated. Different polysubstituted alkyl 2-naphthoates have been synthesized by the DA/rDA reaction of benzynes and 2,2-dimethyl-2H-pyrans. The use of other activated alkynes allows the access of substituted alkyl benzoate derivatives.

Tejedor, David; Díaz-Díaz, Abián; Diana-Rivero, Raquel; Delgado-Hernández, Samuel; García-Tellado, Fernando

Organic Letters 20: 7987-7992 (2018)
DOIDigital.CSIC

On the verge of below-ground speciation: A new species complex of microendemic endogean carabid beetles, Typhlocharis Dieck, 1869 (Coleoptera: Carabidae: Anillini), from south-west Iberian Peninsula

A new species complex of genus Typhlocharis Dieck, 1869 (Coleoptera: Carabidae: Trechinae: Anillini: Typhlocharina) is described. Six populations from southern Badajoz (Spain), referred as the >coenobita species complex>, are the first documented case of an expected situation within Typhlocharina and potentially other lineages of endogean ground beetles: the presence of closely related allopatric populations within a reduced geographical range that, despite certain genetic isolation, show a gradient of morphological differences that challenge taxonomic assignment. Previous phylogenies of Typhlocharina recovered these populations as a monophyletic lineage, represented by three potential new species in need of further examination to validate their status. Here, we test the congruence of this taxonomic hypothesis through direct observation, statistical analyses applied to morphological characters and analysis of COI sequences. Such integrative approach, revealed as a powerful tool to solve situations where phenotypic differences are very subtle, is used for the first time to discriminate Anillini species. The results are coherent with the three species hypothesis, formally described as T. coenobita sp.n., T. eremita sp.n. and T. anachoreta sp.n. The implications of the internal variability within this species complex to the systematics of Typhlocharina and their affinities to other Typhlocharis species are discussed. The entity of T. eremita sp.n. as new species is well established within the standards of the genus. However, the populations of T. coenobita sp.n. show high variability and their relationship with T. anachoreta sp.n. is in the verge of what can be considered species-level differentiation, suggestive of an incipient speciation process. The proposed species boundaries maximize the consistence among the different sources of evidence. The intraspecific variability within T. coenobita sp.n. is properly described, contributing to elucidate the ongoing differentiation processes within this endogean lineage. Finally, an identification key for the coenobita species complex is provided.

Pérez-González, Sergio; Andújar, Carmelo; Lantero, Esther; Zaballos, Juan P.

Arthropod Systematics & Phylogeny 76(3): 429-447 (2018)
Digital.CSIC

Chemical constituents derived from the canaries marine sponge Myxilla sp.

Stigmasterols, ceramides, including ceramide-1-phosphates and pyrimidines were identified in an ethanol extract of the marine sponge Myxilla sp. The compounds were identified by MS and 1D- and 2D-NMR techniques. A simple method based on an ultrahigh-performance liquid chromatography coupled with tandem mass spectrometry was developed to investigate the production of the aforementioned ceramides. This is the first report on ceramide-1-phosphates from a marine sponge.

Ferriol Bunyola, Pere; Toledo Marante, Francisco J.; León, Francisco; Brouard, Ignacio; Guedes Alonso, Guedes; Santana Rodríguez, José J.

Quimica Nova 41(3): 292-296 (2018)
DOIDigital.CSIC

On the sensitivity of alginate rheology to composition

The linear response of alginate-phenyl boronic acid (Alg-PBA) esters shows a universal, composition-independent viscoelastic fluid-like behaviour. Reversible association of alginates governs their rheology at all compositions (viz. at all alginate concentrations and solution pH). However, their high strain behaviour is very sensitive to composition. Tuning composition affords liquids that neck to form filaments capable of being drawn to large elongations without failure. We interpret our data by invoking strain-dependent association and dissociation rates for the alginates. High association rates at high strain result in materials with viscoelastic liquid like behaviour.

Suresh, Karthika; Häring, Marleen; Kumaraswamy, Guruswamy; Díaz Díaz, David

Soft Matter 15(2): 159-165 (2019)
DOIDigital.CSIC

ParticiPat: Exploring the Impact of Participatory Governance in the Heritage Field

This Directions piece presents the project ParticiPat: Patrimonio y participación social: propuesta metodológica y revisión crítica (ParticiPat: Heritage and Social Participation: Methodological Proposal and Critical Review). ParticiPat is a multidisciplinary and multisituated research project involving fourteen researchers from different disciplines and institutions that aims to analyze critically the ubiquitous buzzwords and practices of participation¿as well as its key institutions and actors¿affecting heritage management in Spain, Portugal, or Mexico. This article advances preliminary results derived from the authors¿ case study of a natural park and biosphere reserve in Spain. In doing so, it contributes to the anthropological examination of what has recently been described by different authors as the emergence of a new form of governance based on discourses and practices of participation.

Alonso González, Pablo; González Álvarez, David; Roura-Expósito, Joan

 

PoLAR: Political and Legal Anthropology Review 41(2): 306-318 (2018)
DOIDigital.CSIC

The contribution of mitochondrial metagenomics to large-scale data mining and phylogenetic analysis of Coleoptera

A phylogenetic tree at the species level is still far off for highly diverse insect orders, including the Coleoptera, but the taxonomic breadth of public sequence databases is growing. In addition, new types of data may contribute to increasing taxon coverage, such as metagenomic shotgun sequencing for assembly of mitogenomes from bulk specimen samples. The current study explores the application of these techniques for large-scale efforts to build the tree of Coleoptera. We used shotgun data from 17 different ecological and taxonomic datasets (5 unpublished) to assemble a total of 1942 mitogenome contigs of >3000 bp. These sequences were combined into a single dataset together with all mitochondrial data available at GenBank, in addition to nuclear markers widely used in molecular phylogenetics. The resulting matrix of nearly 16,000 species with two or more loci produced trees (RAxML) showing overall congruence with the Linnaean taxonomy at hierarchical levels from suborders to genera. We tested the role of full-length mitogenomes in stabilizing the tree from GenBank data, as mitogenomes might link terminals with non-overlapping gene representation. However, the mitogenome data were only partly useful in this respect, presumably because of the purely automated approach to assembly and gene delimitation, but improvements in future may be possible by using multiple assemblers and manual curation. In conclusion, the combination of data mining and metagenomic sequencing of bulk samples provided the largest phylogenetic tree of Coleoptera to date, which represents a summary of existing phylogenetic knowledge and a defensible tree of great utility, in particular for studies at the intra-familial level, despite some shortcomings for resolving basal nodes.

Linard, Benjamin; Crampton-Platt, Alex; Moriniere, Jerome; Timmermans, Martjin J.T.N.; Andújar, Carmelo; Arribas, Paula; Miller, Kirsten E.; Lipecki, Julia; Favreau, Emeline; Hunter, Amie; Gómez-Rodríguez, Carola; Barton, Christopher; Nie, Ruie; Guillet, Conrad P.D.T.; Breeschoten, Thijmen; Boack, Ladislav; Vogler, Alfried P.

Molecular Phylogenetics and Evolution 128: 1-11 (2018)
DOIDigital.CSIC

Stereodiversified Modular Synthesis of Non‐planar Five‐Membered Cyclic N‐Hydroxylamidines: Reactivity Study and Application to the Synthesis of Cyclic Amidines

A modular, stereodiversified and scalable synthesis of 5‐membered cyclic N‐hydroxylamidines endowed with three contiguous stereogenic centres is reported. The synthesis utilizes 2‐cyano‐3‐aryl‐4‐nitro‐alkynoates as key building blocks, which are provided by a novel 3‐component Knoevenagel ‐Michael addition manifold carried out as an aqueous emulsion (on water). The key building blocks are obtained as separable mixtures of two series of diastereomers: 2,3,4‐syn,syn and 2,3,4‐syn,anti. Both series were separately transformed into the corresponding 5‐membered 3,4,5‐trisubstituted N‐hydroxylamidines by a tandem hydrogenation cyclization reaction (stereodiversification phase). These N‐hydroxylamidines are functionalized at C3‐methinic position of the ring (alpha to the amidine function) by a robust and unprecedented N‐amidinoxyl radical‐mediated auto‐oxidation process (hydroxylation), or by a diastereoselective enamine‐based C−C bond forming manifold (creation of an all‐carbon quaternary centre). The outcome of the latter is biased by the relative disposition of substituents in the ring, affording C3‐quaternized 5‐membered cyclic N‐hydroxylamidines or 2,9‐diazabicyclo[4.3.0]non‐1‐en motives. Finally, the Ti(III)‐reduction of these quaternized N‐hydroxylamidines generates the corresponding amidines in excellent yields.

Prieto-Ramírez, Mary Cruz; Fernández, Israel; Da Silva, Ivan; González-Platas, Javier; Armas, Pedro de; García-Tellado, Fernando

Advanced Synthesis and Catalysis 360(22): 4362-4371 (2018)
DOIDigital.CSIC