Geochemical signals related to the 2011–2012 El Hierro submarine eruption

On 10 October 2011, a submarine volcanic eruption began 2 km south of the island of El Hierro (Canary Islands, Spain). It was the first eruption after 40 years of quiescence in the Canarian archipelago. Since mid-July 2011, a multiparametric network has been deployed by the Instituto Geográfico Nacional (hereinafter IGN)to monitor volcanic processes. The data recorded by five stations, measuring the air and soil temperature, CO and radon concentration in the air inside four galleries and one well, are the focus of the present paper. Two important anomalies were found that improve comprehension of the volcanic process. First, a clear increase in CO concentration in one gallery (from 825 ± 19 to 2305 ± 35 ppm)which seems to be mainly controlled by ground deformation measured during the unrest period preceding the eruption. Second, a relationship between radon concentration in air in a well located in the northern side of the island with seismic energy release (several peaks with up to 115% increase), and ground deformation (50% growth in background level), also before the eruption onset. Lastly, changes in radon concentration during eruptive period seem to be modulated by seismic activity (increases up to 233%), which in turn is likely related to variations in magma rheology.

Torres-González, Pedro; Moure-García, David; Luengo-Oroz, Natividad; Villasante-Marcos, Victor; Iribarren, Ilaskiñe; Blanco, M. José; Soler, Vicente ; Jiménez-Abizanda, García-Fraga, José

Journal of Volcanology and Geothermal Research 381: 32-43 (2019)
DOIDigital.CSIC

Antimicrobial activity of poly(3,4-ethylenedioxythiophene) n-doped with a pyridinium-containing polyelectrolyte

In spite of p-doped conducting polymers having been widely studied in the last decades and many applications having been developed, studies based on n-doped conducting polymers are extremely scarce. This fact is even more evident when it comes to conducting polymers n-doped with polycations, even though polyanions, such as poly(styrenesulfonate), are often used to obtain p-doped conducting polymers. In this work poly(pyridinium-1,4-diyliminocarbonyl-1,4-phenylene-methylene chloride), abbreviated as P(Py-1,4-P), has been used to prepare n-doped poly(3,4-ethylenedioxythiophene) (PEDOT) electrodes by applying a reduction potential to a de-doped PEDOT film in a P(Py-1,4-P) water solution. The utilization of this cationic polyelectrolyte as an n-dopant agent results in drastic superficial changes, as is observed by comparing the morphology, topography and wettability of p-doped, de-doped and n-doped PEDOT. Cytotoxicity, cell adhesion and cell proliferation assays, which have been conducted using epithelial and fibroblast cell lines, show that the amount of P(Py-1,4-P) in the re-doped PEDOT films is below that required to observe a cytotoxic harmful response and that n-doped PEDOT:P(Py-1,4-P) films are biocompatible. The non-specific bacteriostatic properties of n-doped PEDOT:P(Py-1,4-P) films have been demonstrated against E. coli and S. aureus bacteria (Gram-negative and Gram-positive, respectively) using bacterial growth curves and adhesion assays. Although the bacteriostatic effect is in part due to the conducting polymer, as is proved by results for p-doped and de-doped PEDOT, the incorporation of P(Py-1,4-P) through the re-doping process greatly enhances this antimicrobial behaviour. Thus, only a small concentration of this cationic polyelectrolyte (∼0.1 mM) is needed to inhibit bacterial growth.

Sánchez-Jiménez, Margarita; Estrany, Francesc; Borràs, Nuria; Maiti, Binoy; Díaz Díaz, David ; Del Valle, Luis J.; Alemán, Carlos

Soft Matter 15: 7695-7703 (2019)
DOIDigital.CSIC

5-(1 H-1,2,3-Triazol-5-yl)isophthalic Acid: A Versatile Ligand for the Synthesis of New Supramolecular Metallogels

The gelation ability of 5-(1H-1,2,3-triazol-5-yl)isophthalic acid (click-TIA) in the presence of different metal acetates has been studied in different solvents and ligand/metal ratios. This manuscript is focused on the metallogel obtained from the combination of click-TIA and copper(II) acetate, which has been used as a model system in terms of characterization and gelation studies. Sonication treatment of the initial mixture of compounds and the nature of the counter anion were found to be critical factors for the supramolecular assembly of the metal/click-TIA complexes and, hence, for the formation of stable and homogeneous metallogels. The gel materials have been characterized with a variety of techniques including infrared, rheology, UV-vis spectroscopy, powder X-ray diffraction, and scanning electron microscopy.

Häring, Marleen; Nandi, Sujay Kumar; Rodríguez-López, Julio; Haldar, Debasish; Martín, Victor S.; Lozano-Gorrín, Antonio Diego D.; Saldías, César; Díaz Díaz, David

ACS Omega 4(1): 2111-2117 (2019)
DOIDigital.CSIC

To what extent are bryophytes efficient dispersers?

Bryophytes are typically seen as extremely efficient dispersers. Experimental evidence suggests that efficient short-distance dispersal coupled with random long-distance dispersal (LDD) leads to an inverse isolation effect. Under the latter, a higher genetic diversity of colonizing propagules is expected with increasing isolation, counteracting differentiation beyond the range of short-distance dispersal. This expectation is tested from a review of evidence on spatial genetic structure and analyses of isolation-by-distance (IBD) at different scales. A decay of the IBD signal, characterized by non-significant slopes between kinship coefficients and geographic distance was observed beyond 100 m. A second slope shift was observed at distances larger than 1 km, with a proportion of significant slopes in more than one third of the datasets. The decay of the IBD signal beyond 100 m, which reflects efficient LDD, is consistent with the inverse isolation hypothesis. Persistence of a significant IBD signal at medium ranges in one third of the analysed cases suggests, however, that the inverse isolation effect is not a rule in bryophyte spore dispersal. Furthermore, the higher proportion of significant IBD patterns observed at scales over 100 km likely marks the limits of regional dispersal, beyond which an increasingly smaller proportion of spores travel. Synthesis. We discuss the differences between experimental and genetic estimates of spore dispersal and conclude that geographic distance remains a significant proxy of spore colonization rates, with major consequences for our understanding of actual migration capacities in bryophytes, and hence, our capacity to model range shifts in a changing world.

Vanderpoorten, Alain; Patiño, Jairo; Désamoré, Aurélie; Laenen, Benjamin; Górski, Piotr; Papp, Beata; Holá, Eva; Korpelainen, Helena; Hardy, Olivier

Journal of Ecology 107(5): 2149-2154 (2019)
DOIDigital.CSIC

The discovery of barretonus (Curculionidae: Cossoninae) in the canary islands: Barcoding, morphology and description of new species

The genus Barretonus Roudier, 1958 is a genus endemic to Macaronesia, described from the archipelago of Madeira where four species are known to date. In this study, two new species of Barretonus, B. auarita García & Oromí sp. nov. (from La Palma, Canary Islands) and B. daute García & Andújar sp. nov. (from Tenerife, Canary Islands), are described based on morphological and molecular evidence (mtCOI), and additional notes on their biology and ecology are provided. Morphology of the new species is compared with the other representatives of the genus, and their phylogenetic relationships with a Barretonus representative from Madeira and species from additional genera within the Cossoninae are shown. This work increases the number of species of the genus Barretonus from four to six anophthalmous or microphthalmous species with an endogean lifestyle, and incorporates the Canary Islands into its Macaronesian range of distribution.

García, Rafael; Andújar, Carmelo; Oromí, Pedro; Emerson, Brent C.; López, Heriberto

Acta Entomologica Musei Nationalis Pragae 59(2): 443-452 (2019
DOIDigital.CSIC

Use of a bis-1,2,3-triazole gelator for the preparation of supramolecular metallogels and stabilization of gold nanoparticles

In this work we have applied a double isosteric substitution of the amide groups presented in the gelator N,N′-((1S,2S)-cyclohexane-1,2-diyl)didodecanamide (C-Cyc) by 1,2,3-triazole rings affording the corresponding isosteric gelator (click-C-Cyc). This approach enabled the preparation of different metallogels and fine-tuning their properties. In particular, C-Cyc was found to form stable and reversible metallogels with Pd and Au in DMSO and DMF, whereas click-C-Cyc formed metallogels in these solvents only in the presence of Au. Comparing the gels made of C-Cycvs.click-C-Cyc in the presence of HAuCl·3HO, the former showed higher T values and 5-8 times slower gelation kinetics. Furthermore, the incorporation of EtN as reducing agent in the formulations facilitated the in situ formation of non-aggregated gold nanoparticles embedded in the viscoelastic networks made of either pure isosteres or with an equimolar mixture of click-C-Cyc and C-Cyc. So-formed NPs showed similar size distribution regardless the gold concentration and the nature of the gelator system.

Tautz, Markus; Saldías, César; Lozano-Gorrín, Antonio Diego; Díaz Díaz, David

New Journal of Chemistry 43: 13850-13856 (2019)
DOIDigital.CSIC

Recent Advances in the Synthesis of 2H-Pyrans

In this review, we discuss the nature of the different physicochemical factors affecting the valence isomerism between 2H-pyrans (2HPs) and 1-oxatrienes, and we describe the most versatile synthetic methods reported in recent literature to access to 2HPs, with the only exception of 2HPs fused to aromatic rings (i.e., 2H-chromenes), which are not included in this review.

Tejedor, David; Delgado-Hernández, Samuel; Diana-Rivero, Raquel; Díaz-Díaz, Abián; García-Tellado, Fernando  

Molecules 24(16): 2904 (2019)
DOIDigital.CSIC

Small size does not restrain frugivory and seed dispersal across the evolutionary radiation of Galápagos lava lizards

Frugivory in lizards is often assumed to be constrained by body size; only large individuals are considered capable of consuming fruits, with the potential of acting as seed dispersers. However, only one previous study has tested the correlation of frugivory with body and head size at an archipelago scale across closely related species. All nine lava lizards (Microlophus spp.) were studied on the eleven largest Galápagos islands from 2010 to 2016 to investigate whether frugivory is related to body and head size. We also tested whether fruit abundance influences fruit consumption and explored the effect of seed ingestion on seedling emergence time and percentage. Our results showed that across islands, lava lizards varied considerably in size (64–102 mm in mean snout–vent length) and level of frugivory (1–23%, i.e., percentage of droppings with seeds). However, level of frugivory was only weakly affected by size as fruit consumption was also common among small lizards. Lava lizards consumed fruits throughout the year and factors other than fruit abundance may be more important drivers of fruit selection (e.g., fruit size, energy content of pulp). From 2,530 droppings, 1,714 seeds of at least 61 plant species were identified, 76% of the species being native to the Galápagos. Most seeds (91%) showed no external structural damage. Seedling emergence time (44 versus 118 days) and percentage (20% versus 12%) were enhanced for lizard-ingested seeds compared to control (uningested) fruits. De-pulping by lizards (i.e., removal of pulp with potential germination inhibitors) might increase the chances that at least some seeds find suitable recruitment conditions. We concluded that lizards are important seed dispersers throughout the year and across the whole archipelago, regardless of body size.

Hervías-Parejo, Sandra; Heleno, Rubén; Rumeu, Beatriz; Guzmán, Beatriz; Vargas, Pablo; Olesen, Jens M.; Traveset, Anna; Vera, Carlos; Benavides, Edgar; Nogales, Manuel 

Current Zoology 65(4): 353–361 (2019)
DOIDigital.CSIC

Spatial and Temporal Analysis of Temperature and Gaseous Emission Inside a Gallery in An Active Volcanic Island (Tenerife, Canary Islands)

In Tenerife there are a vast number of sub-horizontal blind water mines, called “galleries”. Seven air and soil temperatures and CO2 concentration profiles in air were carried out inside the Río de Guía gallery (hereinafter RdG). An anomalous stable maximum temperature point (hereinafter MTP) was found around 2000 m from the entrance. During the warm period, a clear CO2 stagnation was detected before MTP, showing concentrations up to 14,000 ppm. In order to study gas emission and its dynamics inside the gallery, four stations were deployed around MTP. All stations recorded air and soil temperatures, and CO2 and Rn concentration in air from November 2009 to January 2011. After analyzing this dataset, it was possible to characterize the influence of MTP. This thermal anomaly divided the gallery into two sections. In the cold period, the outer section located outwards from MTP became colder while the inner section warmed up owing to a less heat transfer into the deepest part of the gallery. There were several short periods when variations in barometric pressure created an advection movement that was able to temporally change the gas behavior inside the gallery. Two soil gas samples were taken around MTP and their δ13C (CO2) ratios suggested a magmatic origin. All data were combined to create a model for the gas and thermal dynamics inside the gallery. This model, together with identification of background levels in each parameter, allows to identify any anomalous signal that could be elated with changes in volcanic activity.

Torres-González, Pedro; Moure-García, David; Luengo-Oroz, Natividad; Villasante-Marcos, Víctor; Soler, Vicente; Iribarren, Ilaskiñe; Jiménez-Abizanda, Ana; García-Fraga, José

Pure and Applied Geophysics 176(8): 3467–3485 (2019)
DOIDigital.CSIC

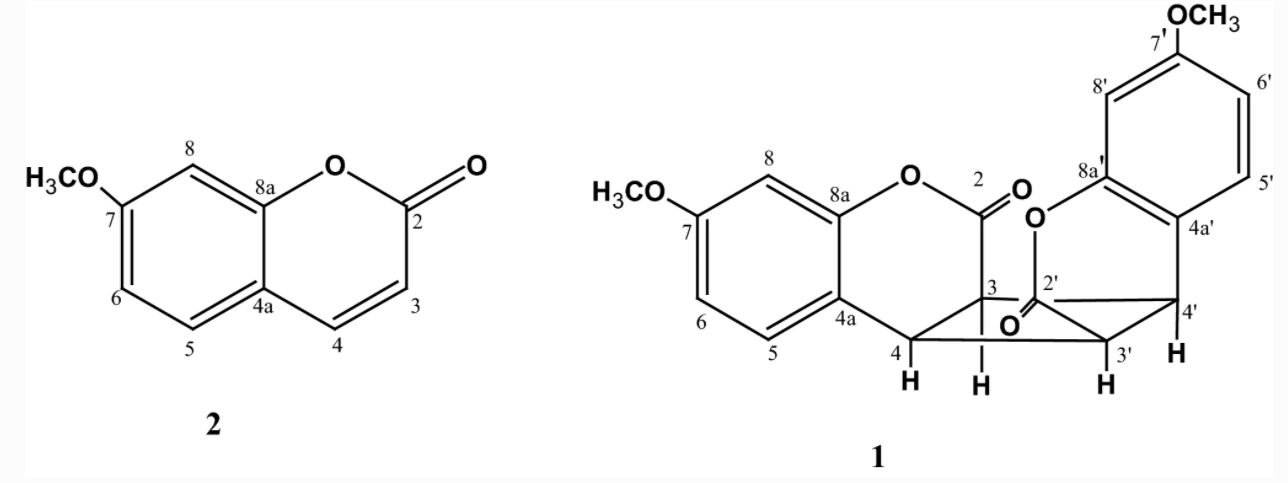
Dimeric Coumarin and Other Constituents from Flowers of Matricaria pubescens

Dimer of herniarin (1) together with herniarin (2), scopoletin (3), and (2E,4E)-6-(2-thienyl)-2,4-hexadienisobutylamide (4) were isolated from the flowers of Matricaria pubescens. Their structures were established by spectroscopic data and by comparison with spectral data of known compounds. Compound 1 is reported for the first time in plant kingdom, and compound 3 is reported from M. pubescens for the first time.

Benferdjallah, Said; Dendougui, Hocine; Pérez García, Víctor; Bermejo Barrera, Jaime; Benayache, Fadila; Benayache, Samir

National Academy Science Letters 42: 319-321 (2019)
DOIDigital.CSIC